Официальное опубликование правовых актов
ОФИЦИАЛЬНОЕ ОПУБЛИКОВАНИЕ
Приказ Управления имущественных отношений Брянской области от 18.11.2019 № 1475
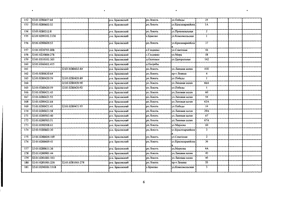
"О внесении изменений в приказ от 26.10.2016 №1248 "Об определении перечня объектов недвижимого имущества, расположенных на территории Брасовского района Брянской области, в отношении которых в 2017 году налоговая база определяется как их кадастровая стоимость"
Номер опубликования: 3201201911220004
Дата опубликования: 22.11.2019
Страница №8 из 11:
Увеличить