Официальное опубликование правовых актов
ОФИЦИАЛЬНОЕ ОПУБЛИКОВАНИЕ
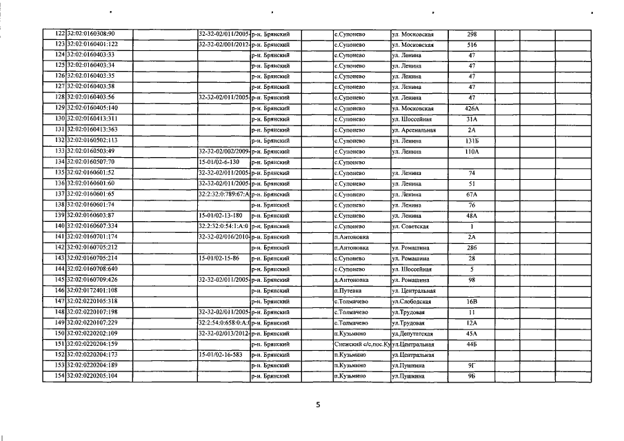
Приказ Управления имущественных отношений Брянской области от 18.11.2019 № 1474
"О внесении изменений в приказ от 26.10.2016 №1249 "Об определении перечня объектов недвижимого имущества, расположенных на территории Брянского района Брянской области, в отношении которых в 2017 году налоговая база определяется как их кадастровая стоимость"
Номер опубликования: 3201201911220003
Дата опубликования: 22.11.2019
Страница №7 из 16:
Увеличить