Официальное опубликование правовых актов
ОФИЦИАЛЬНОЕ ОПУБЛИКОВАНИЕ
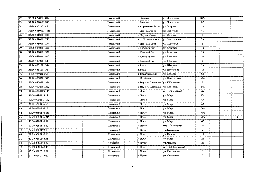
Приказ Управления имущественных отношений Брянской области от 18.11.2019 № 1468
"О внесении изменений в приказ от 27.11.2017 №1323 "Об определении перечня объектов недвижимого имущества, расположенных на территории Почепского района Брянской области, в отношении которых в 2018 году налоговая база определяется как их кадастровая стоимость"
Номер опубликования: 3201201911210014
Дата опубликования: 21.11.2019
Страница №4 из 12:
Увеличить