Официальное опубликование правовых актов
ОФИЦИАЛЬНОЕ ОПУБЛИКОВАНИЕ
Приказ Управления имущественных отношений Брянской области от 18.11.2019 № 1469
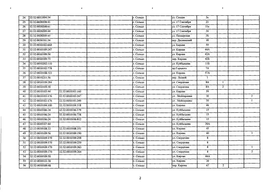
"О внесении изменений в приказ от 27.11.2017 №1341 "Об определении Перечня объектов недвижимого имущества, расположенных на территории города Сельцо Брянской области, в отношении которых в 2018 году налоговая база определяется как их кадастровая стоимость"
Номер опубликования: 3201201911210013
Дата опубликования: 21.11.2019
Страница №4 из 8:
Увеличить