Приказ Управления имущественных отношений Брянской области от 21.10.2019 № 1336
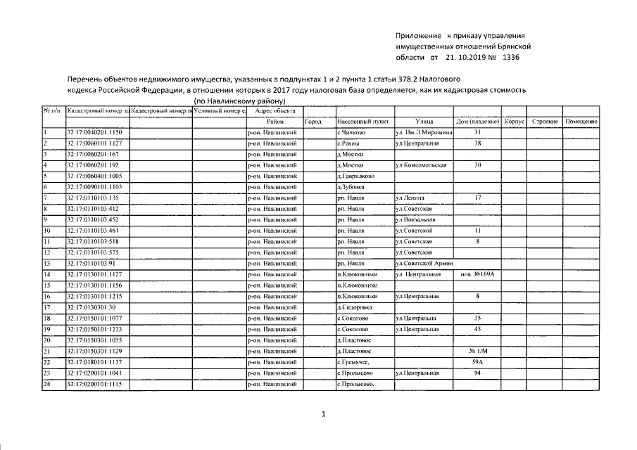
"О внесении изменений в приказ от 26.10.2016 №1269 "Об определении перечня объектов недвижимого имущества, расположенных на территории Навлинского района Брянской области, в отношении которых в 2017 году налоговая база определяется как их кадастровая стоимость"
"О внесении изменений в приказ от 26.10.2016 №1269 "Об определении перечня объектов недвижимого имущества, расположенных на территории Навлинского района Брянской области, в отношении которых в 2017 году налоговая база определяется как их кадастровая стоимость"
Номер опубликования: 3201201910290004
Дата опубликования:
29.10.2019
