Приказ Управления имущественных отношений Брянской области от 21.10.2019 № 1315
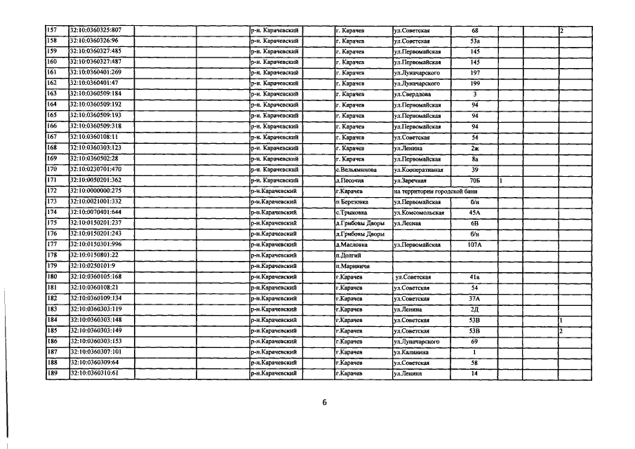
"О внесении изменений в приказ от 27.11.2017 №1333 "Об определении перечня объектов недвижимого имущества, расположенных на территории Карачевского района Брянской области, в отношении которых в 2018 году налоговая база определяется как их кадастровая стоимость"
"О внесении изменений в приказ от 27.11.2017 №1333 "Об определении перечня объектов недвижимого имущества, расположенных на территории Карачевского района Брянской области, в отношении которых в 2018 году налоговая база определяется как их кадастровая стоимость"
Номер опубликования: 3201201910290001
Дата опубликования:
29.10.2019
