Официальное опубликование правовых актов
ОФИЦИАЛЬНОЕ ОПУБЛИКОВАНИЕ
Приказ Управления имущественных отношений Брянской области от 21.10.2019 № 1328
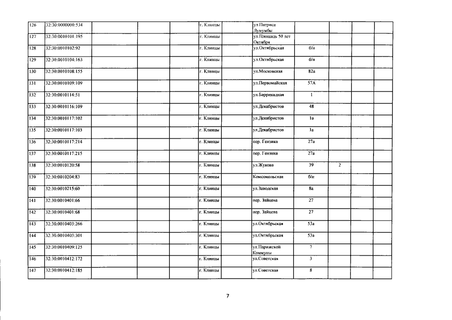
"О внесении изменений в приказ от 26.10.2016 №1252 "Об определении перечня объектов недвижимого имущества, расположенных на территории города Клинцы Брянской области, в отношении которых в 2017 голу налоговая база определяется как их кадастровая стоимость"
Номер опубликования: 3201201910280012
Дата опубликования: 28.10.2019
Страница №9 из 18:
Увеличить