Официальное опубликование правовых актов
ОФИЦИАЛЬНОЕ ОПУБЛИКОВАНИЕ
Приказ Управления имущественных отношений Брянской области от 21.10.2019 № 1337
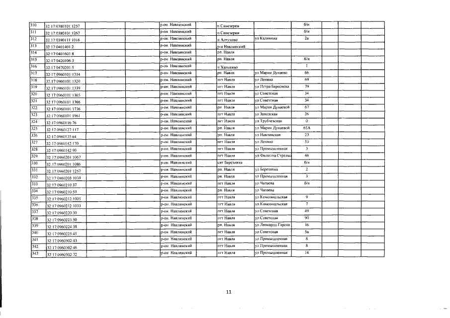
"О внесении изменений в приказ от 27.11.2017 №1326 "Об определении Перечня объектов недвижимого имущества, расположенных на территории Навлинского района Брянской области, в отношении которых в 2018 году налоговая база определяется как их кадастровая стоимость"
Номер опубликования: 3201201910280010
Дата опубликования: 28.10.2019
Страница №13 из 15:
Увеличить