Приказ Управления имущественных отношений Брянской области от 21.10.2019 № 1338
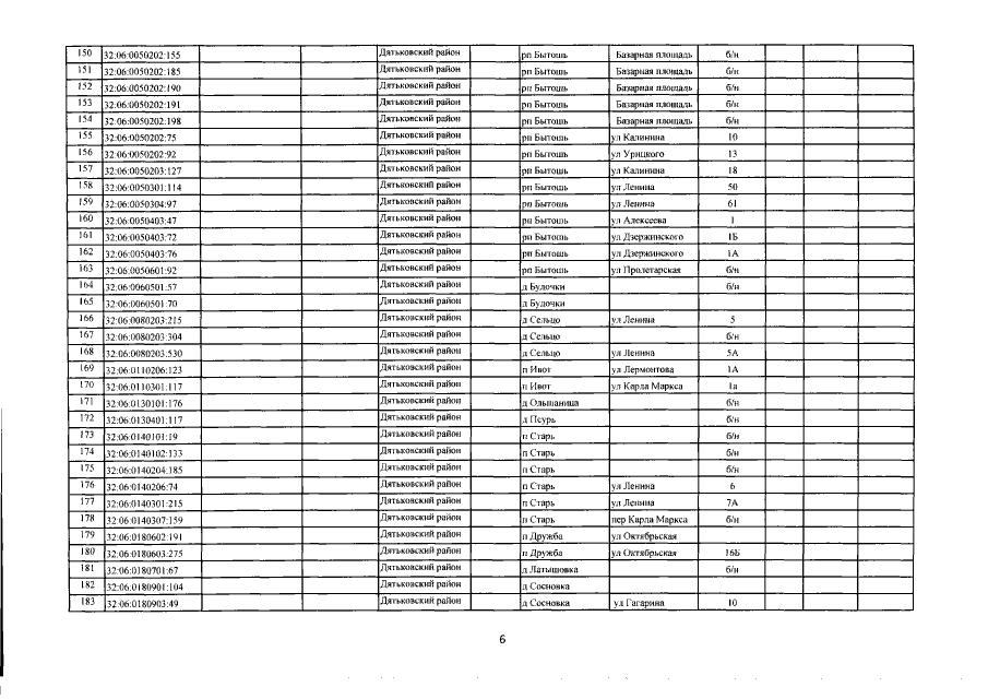
"О внесении изменений в приказ от 27.11.2017 №1337 "Об определении перечня объектов недвижимого имущества, расположенных на территории Дятьковского района Брянской области, в отношении которых в 2018 году налоговая база определяется как их кадастровая стоимость"
"О внесении изменений в приказ от 27.11.2017 №1337 "Об определении перечня объектов недвижимого имущества, расположенных на территории Дятьковского района Брянской области, в отношении которых в 2018 году налоговая база определяется как их кадастровая стоимость"
Номер опубликования: 3201201910280009
Дата опубликования:
28.10.2019
