Приказ Управления имущественных отношений Брянской области от 21.10.2019 № 1314
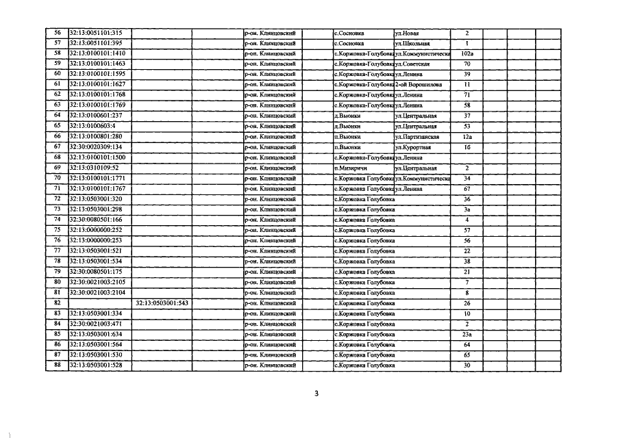
"О внесении изменений в приказ от 27.11.2017 №1330 "Об определении Перечня объектов недвижимого имущества, расположенных на территории Клинцовского района Брянской области, в отношении которых в 2018 году налоговая база определяется как их кадастровая стоимость"
"О внесении изменений в приказ от 27.11.2017 №1330 "Об определении Перечня объектов недвижимого имущества, расположенных на территории Клинцовского района Брянской области, в отношении которых в 2018 году налоговая база определяется как их кадастровая стоимость"
Номер опубликования: 3201201910280008
Дата опубликования:
28.10.2019
