Официальное опубликование правовых актов
ОФИЦИАЛЬНОЕ ОПУБЛИКОВАНИЕ
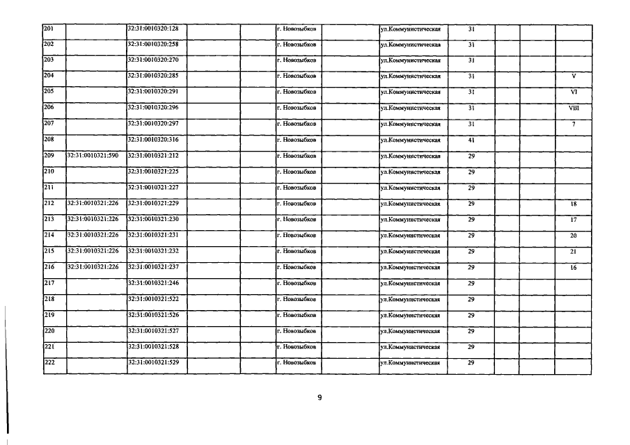
Приказ Управления имущественных отношений Брянской области от 21.10.2019 № 1326
"О внесении изменений в приказ от 26.10.2016 №1253 "Об определении перечня объектов недвижимого имущества, расположенных на территории города Новозыбкова Брянской области, в отношении которых в 2017 году налоговая база определяется как их кадастровая стоимость"
Номер опубликования: 3201201910280003
Дата опубликования: 28.10.2019
Страница №11 из 15:
Увеличить