Официальное опубликование правовых актов
ОФИЦИАЛЬНОЕ ОПУБЛИКОВАНИЕ
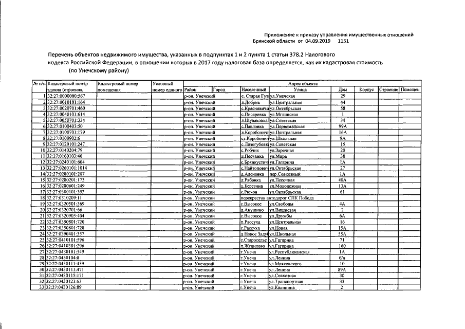
Приказ Управления имущественных отношений Брянской области от 04.09.2019 № 1151
"О внесении изменений в приказ от 26.10.2016 №1280 "Об определении Перечня объектов недвижимого имущества, расположенных на территории Унечского района Брянской области, в отношении которых в 2017 году налоговая база определяется как их кадастровая стоимость"
Номер опубликования: 3201201909100003
Дата опубликования: 10.09.2019
Страница №3 из 9:
Увеличить