Официальное опубликование правовых актов
ОФИЦИАЛЬНОЕ ОПУБЛИКОВАНИЕ
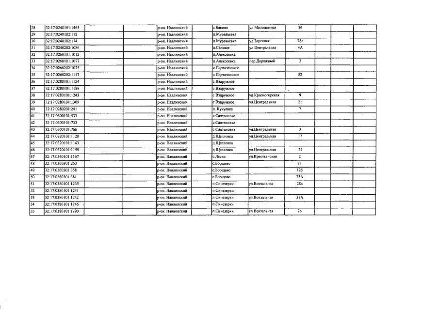
Приказ Управления имущественных отношений Брянской области от 04.09.2019 № 1158
"О внесении изменений в приказ от 27.11.2017 №1326 "Об определении Перечня объектов недвижимого имущества, расположенных на территории Навлинского района Брянской области, в отношении которых в 2018 году налоговая база определяется как их кадастровая стоимость"
Номер опубликования: 3201201909100001
Дата опубликования: 10.09.2019
Страница №4 из 15:
Увеличить