Приказ Управления имущественных отношений Брянской области от 04.09.2019 № 1154
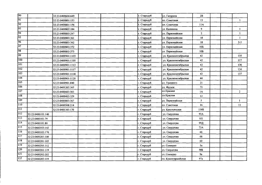
"О внесении изменений в приказ от 27.11.2017 №1340 "Об определении Перечня объектов недвижимого имущества, расположенных на территории города Стародуба Брянской области, в отношении которых в 2018 году налоговая база определяется как их кадастровая стоимость"
"О внесении изменений в приказ от 27.11.2017 №1340 "Об определении Перечня объектов недвижимого имущества, расположенных на территории города Стародуба Брянской области, в отношении которых в 2018 году налоговая база определяется как их кадастровая стоимость"
Номер опубликования: 3201201909090003
Дата опубликования:
09.09.2019
