Официальное опубликование правовых актов
ОФИЦИАЛЬНОЕ ОПУБЛИКОВАНИЕ
Приказ Управления имущественных отношений Брянской области от 04.07.2019 № 841
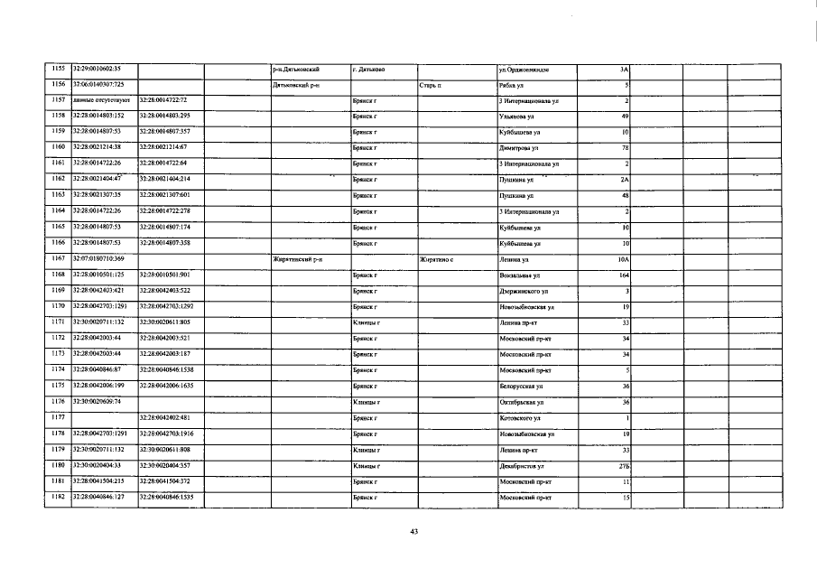
"О внесении изменений в приказ от 29.11.2018 №1512 "Об определении Перечня объектов недвижимого имущества, расположенных на территории Брянской области, в отношении которых в 2019 году налоговая база определяется как их кадастровая стоимость"
Номер опубликования: 3201201907110001
Дата опубликования: 11.07.2019
Страница №46 из 576:
Увеличить