Официальное опубликование правовых актов
ОФИЦИАЛЬНОЕ ОПУБЛИКОВАНИЕ
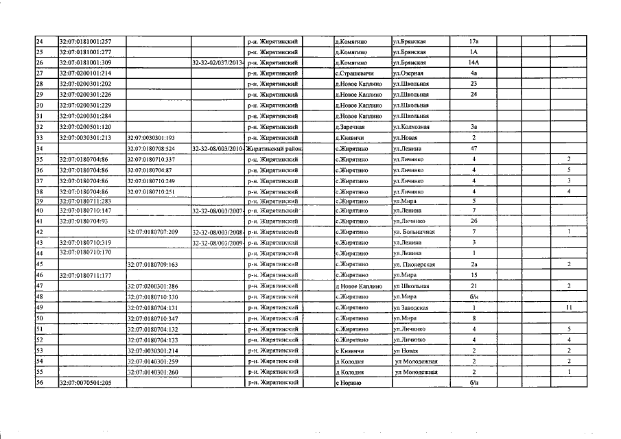
Приказ Управления имущественных отношений Брянской области от 24.05.2019 № 641
"О внесении изменений в приказ от 27.11.2017 №1336 "Об определении Перечня объектов недвижимого имущества, расположенных на территории Жирятинского района Брянской области, в отношении которых в 2018 году налоговая база определяется как их кадастровая стоимость"
Номер опубликования: 3201201905290002
Дата опубликования: 29.05.2019
Страница №4 из 5:
Увеличить