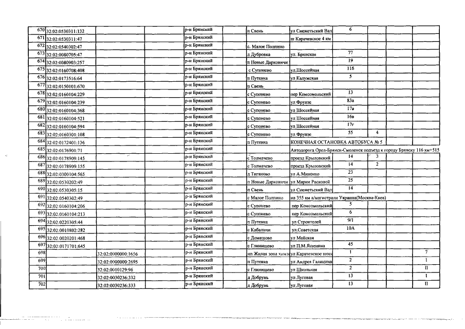
Приказ Управления имущественных отношений Брянской области от 24.05.2019 № 640
"О внесении изменений в приказ от 27.11.2017 №1312 "Об определении Перечня объектов недвижимого имущества, расположенных на территории Брянского района Брянской области, в отношении которых в 2018 году налоговая база определяется как их кадастровая стоимость"
"О внесении изменений в приказ от 27.11.2017 №1312 "Об определении Перечня объектов недвижимого имущества, расположенных на территории Брянского района Брянской области, в отношении которых в 2018 году налоговая база определяется как их кадастровая стоимость"
Номер опубликования: 3201201905290001
Дата опубликования:
29.05.2019
