Официальное опубликование правовых актов
ОФИЦИАЛЬНОЕ ОПУБЛИКОВАНИЕ
Приказ Управления имущественных отношений Брянской области от 06.05.2019 № 531
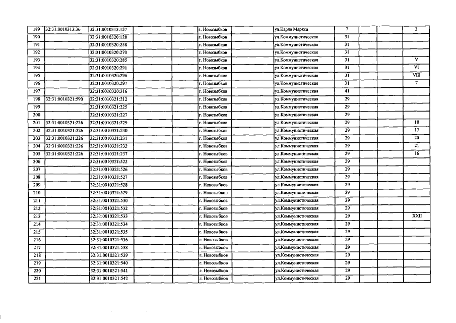
"О внесении изменений в приказ от 27.11.2017 №1342 "Об определении Перечня объектов недвижимого имущества, расположенных на территории города Новозыбкова Брянской области, в отношении которых в 2018 году налоговая база определяется как их кадастровая стоимость"
Номер опубликования: 3201201905130006
Дата опубликования: 13.05.2019
Страница №9 из 17:
Увеличить