Официальное опубликование правовых актов
ОФИЦИАЛЬНОЕ ОПУБЛИКОВАНИЕ
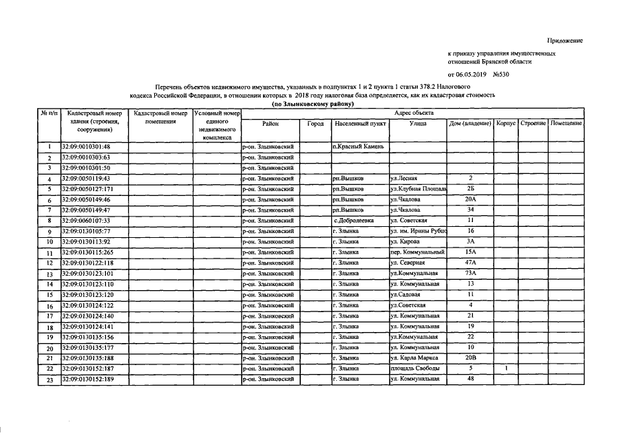
Приказ Управления имущественных отношений Брянской области от 06.05.2019 № 530
"О внесении изменений в приказ от 27.11.2017 №1334 "Об определении перечня объектов недвижимого имущества, расположенных на территории Злынковского района Брянской области, в отношении которых в 2018 году налоговая база определяется как их кадастровая стоимость"
Номер опубликования: 3201201905130002
Дата опубликования: 13.05.2019
Страница №3 из 7:
Увеличить