Официальное опубликование правовых актов
ОФИЦИАЛЬНОЕ ОПУБЛИКОВАНИЕ
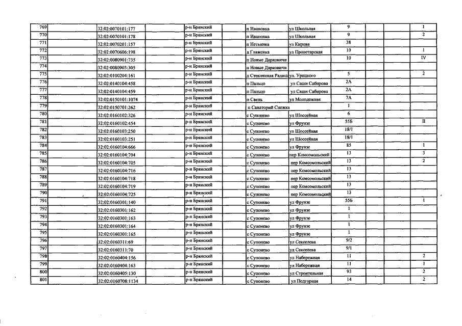
Приказ Управления имущественных отношений Брянской области от 06.05.2019 № 529
"О внесении изменений в приказ от 27.11.2017 №1312 "Об определении перечня объектов недвижимого имущества, расположенных на территории Брянского района Брянской области, в отношении которых в 2018 году налоговая база определяется как их кадастровая стоимость"
Номер опубликования: 3201201905130001
Дата опубликования: 13.05.2019
Страница №30 из 31:
Увеличить