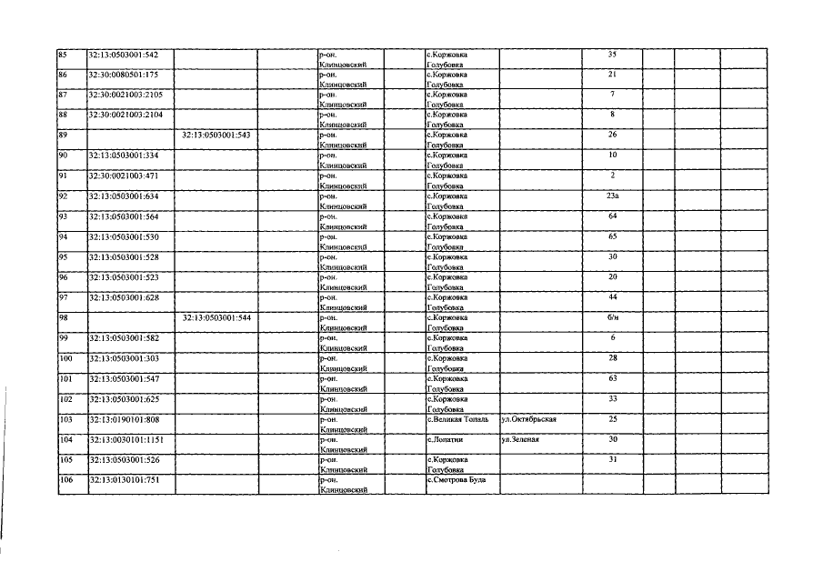
Приказ Управления имущественных отношений Брянской области от 01.04.2019 № 369
"О внесении изменений в приказ от 26.10.2016 №1265 "Об определении перечня объектов недвижимого имущества, расположенных на территории Клинцовского района Брянской области, в отношении которых в 2017 году налоговая база определяется как их кадастровая стоимость"
"О внесении изменений в приказ от 26.10.2016 №1265 "Об определении перечня объектов недвижимого имущества, расположенных на территории Клинцовского района Брянской области, в отношении которых в 2017 году налоговая база определяется как их кадастровая стоимость"
Номер опубликования: 3201201904050005
Дата опубликования:
05.04.2019
