Официальное опубликование правовых актов
ОФИЦИАЛЬНОЕ ОПУБЛИКОВАНИЕ
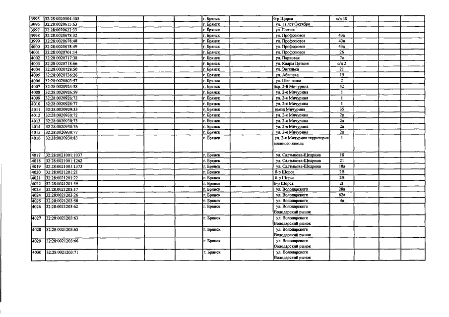
Приказ Управления имущественных отношений Брянской области от 28.02.2019 № 256
"О внесении изменений в приказ от 27.11.2017 №1З14 "Об определении Перечня объектов недвижимого имущества, расположенных на территории города Брянска Брянской области, в отношении которых в 2018 году налоговая база определяется как их кадастровая стоимость"
Номер опубликования: 3201201903060002
Дата опубликования: 06.03.2019
Страница №94 из 154:
Увеличить