Официальное опубликование правовых актов
ОФИЦИАЛЬНОЕ ОПУБЛИКОВАНИЕ
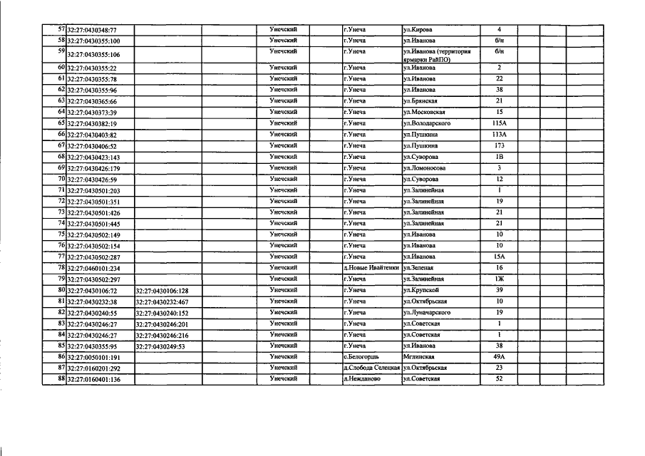
Приказ Управления имущественных отношений Брянской области от 28.02.2019 № 258
"О внесении изменений в приказ от 27.11.2017 №1316 "Об определении перечня объектов недвижимого имущества, расположенных на территории Унечского района Брянской области, в отношении которых в 2018 году налоговая база определяется как их кадастровая стоимость"
Номер опубликования: 3201201903050007
Дата опубликования: 05.03.2019
Страница №5 из 14:
Увеличить