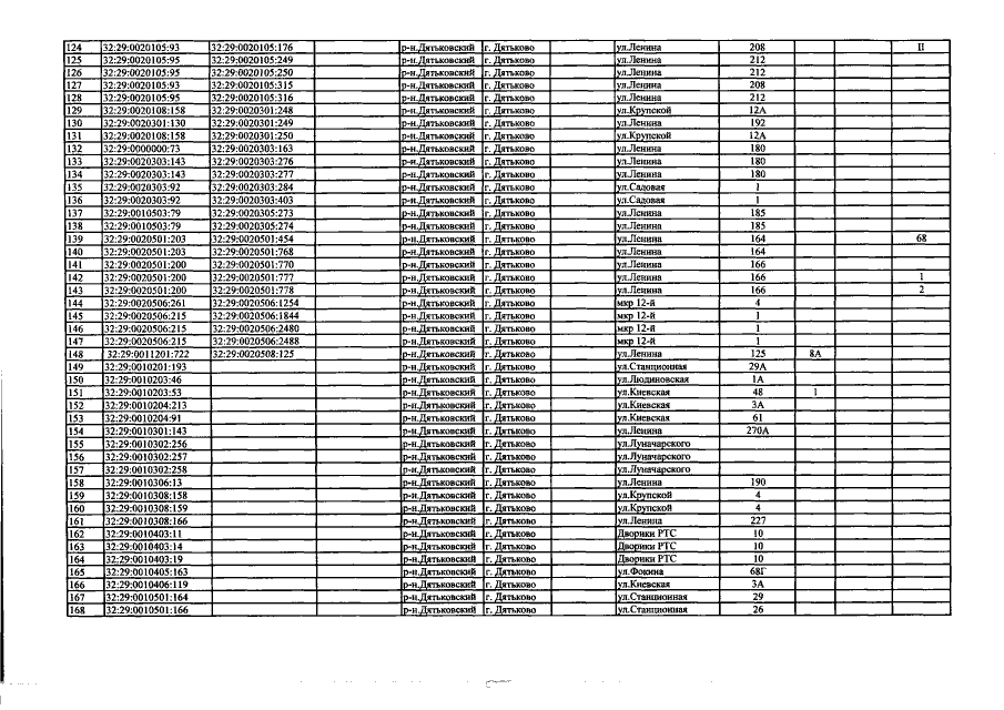
Приказ Управления имущественных отношений Брянской области от 28.02.2019 № 255
"О внесении изменений в приказ от 27.11.2017 №1344 "Об определении перечня объектов недвижимого имущества, расположенных на территории города Дятьково Брянской области, в отношении которых в 2018 году налоговая база определяется как их кадастровая стоимость"
"О внесении изменений в приказ от 27.11.2017 №1344 "Об определении перечня объектов недвижимого имущества, расположенных на территории города Дятьково Брянской области, в отношении которых в 2018 году налоговая база определяется как их кадастровая стоимость"
Номер опубликования: 3201201903050004
Дата опубликования:
05.03.2019
