Приказ Управления имущественных отношений Брянской области от 23.01.2019 № 112
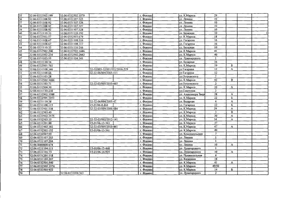
"О внесении изменений в приказ от 27.11.2017 №1339 "Об определении перечня объектов недвижимого имущества, расположенных на территории города Фокино района Брянской области, в отношении которых в 2018 году налоговая база определяется как их кадастровая стоимость"
"О внесении изменений в приказ от 27.11.2017 №1339 "Об определении перечня объектов недвижимого имущества, расположенных на территории города Фокино района Брянской области, в отношении которых в 2018 году налоговая база определяется как их кадастровая стоимость"
Номер опубликования: 3201201901280014
Дата опубликования:
28.01.2019
