Официальное опубликование правовых актов
ОФИЦИАЛЬНОЕ ОПУБЛИКОВАНИЕ
Приказ Управления имущественных отношений Брянской области от 14.12.2018 № 1601
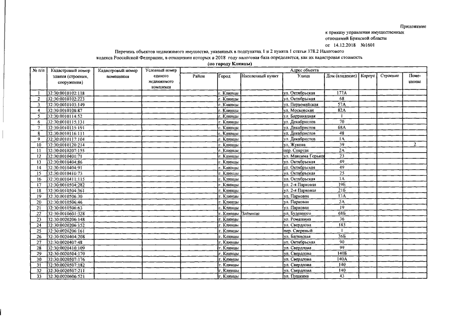
"О внесении изменений в приказ от 27.11.2017 №1343 "Об определении Перечня объектов недвижимого имущества, расположенных на территории города Клинцы Брянской области, в отношении которых в 2018 году налоговая база определяется как их кадастровая стоимость"
Номер опубликования: 3201201812190015
Дата опубликования: 19.12.2018
Страница №3 из 17:
Увеличить