Официальное опубликование правовых актов
ОФИЦИАЛЬНОЕ ОПУБЛИКОВАНИЕ
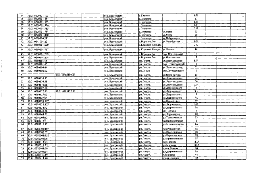
Приказ Управления имущественных отношений Брянской области от 14.12.2018 № 1602
"О внесении изменений в приказ от 27.11.2017 №1313 "Об определении перечня объектов недвижимого имущества, расположенных на территории Брасовского района Брянской области, в отношении которых в 2018 году налоговая база определяется как их кадастровая стоимость"
Номер опубликования: 3201201812190011
Дата опубликования: 19.12.2018
Страница №4 из 10:
Увеличить