Приказ Управления имущественных отношений Брянской области от 14.12.2018 № 1599
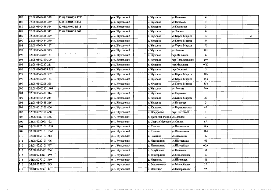
"О внесении изменений в приказ от 26.10.2016 №1260 "Об определении перечня объектов недвижимого имущества, расположенных на территории Жуковского района Брянской области, в отношении которых в 2017 году налоговая база определяется как их кадастровая стоимость"
"О внесении изменений в приказ от 26.10.2016 №1260 "Об определении перечня объектов недвижимого имущества, расположенных на территории Жуковского района Брянской области, в отношении которых в 2017 году налоговая база определяется как их кадастровая стоимость"
Номер опубликования: 3201201812190009
Дата опубликования:
19.12.2018
