Официальное опубликование правовых актов
ОФИЦИАЛЬНОЕ ОПУБЛИКОВАНИЕ
Приказ Департамента региональной безопасности Брянской области от 04.12.2018 № 312
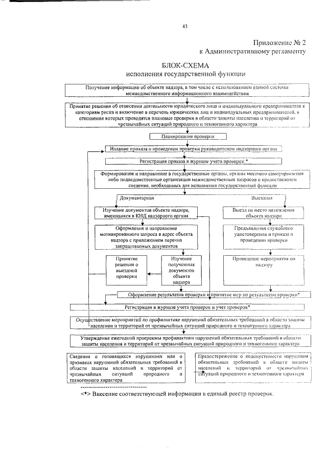
"Об утверждении Административного регламента исполнения департаментом региональной безопасности Брянской области государственной функции по осуществлению регионального государственного надзора в области защиты населения и территорий от чрезвычайных ситуаций на территории Брянской области"
Номер опубликования: 3201201812120002
Дата опубликования: 12.12.2018
Страница №45 из 70:
Увеличить