Официальное опубликование правовых актов
ОФИЦИАЛЬНОЕ ОПУБЛИКОВАНИЕ
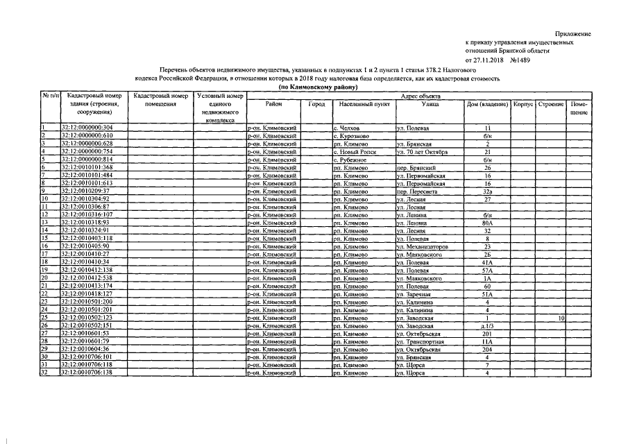
Приказ Управления имущественных отношений Брянской области от 27.11.2018 № 1489
"О внесении изменений в приказ от 27.11.2017 №1331 "Об определении перечня объектов недвижимого имущества, расположенных на территории Климовского района Брянской области, в отношении которых в 2018 году налоговая база определяется как их кадастровая стоимость"
Номер опубликования: 3201201812040003
Дата опубликования: 04.12.2018
Страница №3 из 7:
Увеличить