Официальное опубликование правовых актов
ОФИЦИАЛЬНОЕ ОПУБЛИКОВАНИЕ
Приказ Управления имущественных отношений Брянской области от 27.11.2018 № 1496
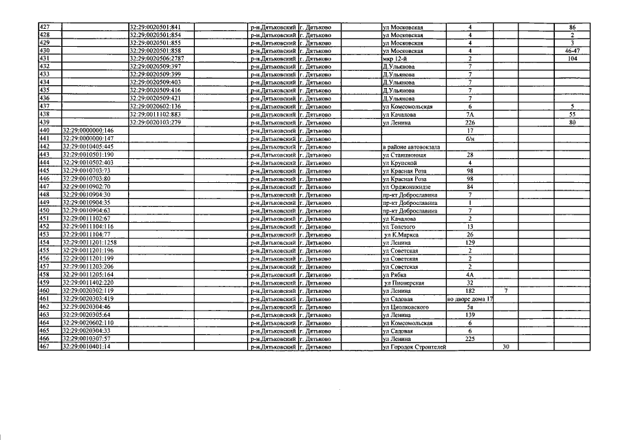
"О внесении изменений в приказ от 27.11.2017 №1344 "Об определении перечня объектов недвижимого имущества, расположенных на территории города Дятьково Брянской области, в отношении которых в 2018 году налоговая база определяется как их кадастровая стоимость"
Номер опубликования: 3201201812040002
Дата опубликования: 04.12.2018
Страница №13 из 13:
Увеличить