Официальное опубликование правовых актов
ОФИЦИАЛЬНОЕ ОПУБЛИКОВАНИЕ
Приказ Управления имущественных отношений Брянской области от 27.11.2018 № 1478
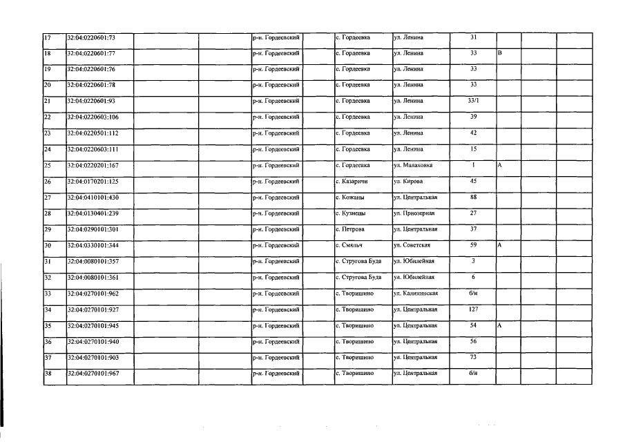
"О внесении изменений в приказ от 26.10.2016 №1271 "Об определении перечня объектов недвижимого имущества, расположенных на территории Гордеевского района Брянской области, в отношении которых в 2017 году налоговая база определяется как их кадастровая стоимость"
Номер опубликования: 3201201812030004
Дата опубликования: 03.12.2018
Страница №4 из 7:
Увеличить