Официальное опубликование правовых актов
ОФИЦИАЛЬНОЕ ОПУБЛИКОВАНИЕ
Приказ Управления имущественных отношений Брянской области от 27.11.2018 № 1482
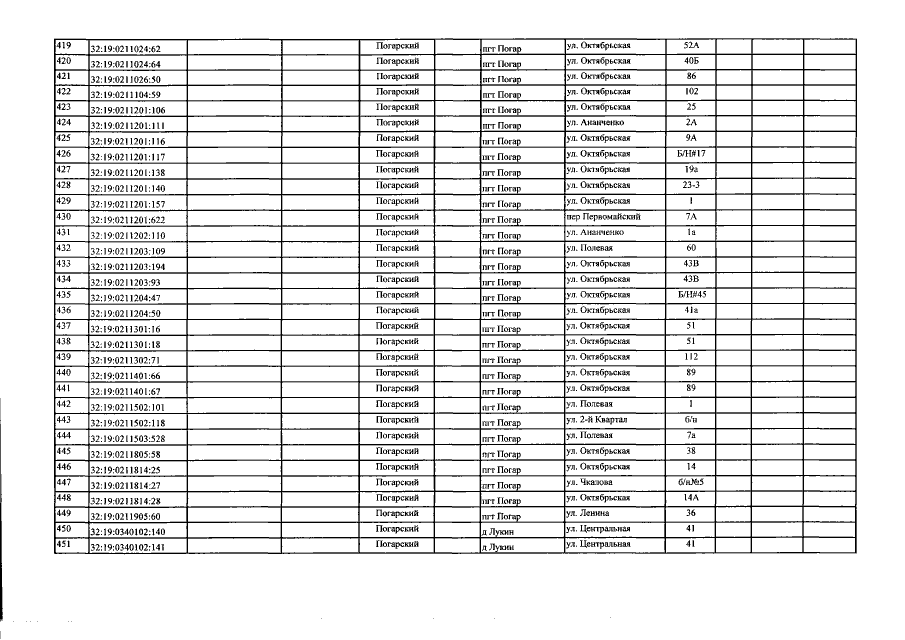
"О внесении изменений в приказ от 27.11.2017 №1324 "Об определении перечня объектов недвижимого имущества, расположенных на территории Погарского района Брянской области, в отношении которых в 2018 году налоговая база определяется как их кадастровая стоимость"
Номер опубликования: 3201201812030003
Дата опубликования: 03.12.2018
Страница №16 из 17:
Увеличить