Официальное опубликование правовых актов
ОФИЦИАЛЬНОЕ ОПУБЛИКОВАНИЕ
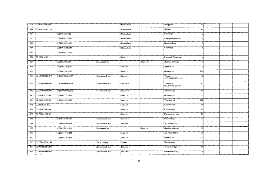
Приказ Управления имущественных отношений Брянской области от 29.11.2018 № 1512
"Об определении перечня объектов недвижимого имущества, расположенных на территории Брянской области, в отношении которых в 2019 году налоговая база определяется как их кадастровая стоимость"
Номер опубликования: 3201201812030001
Дата опубликования: 03.12.2018
Страница №35 из 581:
Увеличить