Официальное опубликование правовых актов
ОФИЦИАЛЬНОЕ ОПУБЛИКОВАНИЕ
Приказ Управления имущественных отношений Брянской области от 01.11.2018 № 1314
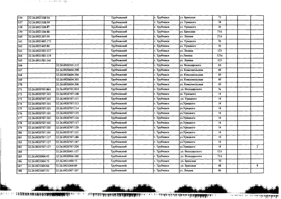
"О внесении изменений в приказ от 27.11.2017 №1317 "Об определении перечня объектов недвижимого имущества, расположенных на территории Трубчевского района Брянской области, в отношении которых в 2018 году налоговая база определяется как их кадастровая стоимость"
Номер опубликования: 3201201811070004
Дата опубликования: 07.11.2018
Страница №8 из 11:
Увеличить