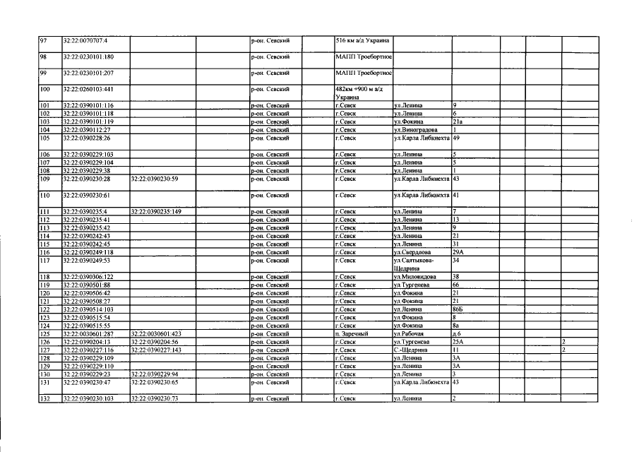
Приказ Управления имущественных отношений Брянской области от 12.10.2018 № 1241
"О внесении изменений в приказ от 27.11.2017 №1321 "Об определении перечня объектов недвижимого имущества, расположенных на территории Севского района Брянской области, в отношении которых в 2018 году налоговая база определяется как их кадастровая стоимость"
"О внесении изменений в приказ от 27.11.2017 №1321 "Об определении перечня объектов недвижимого имущества, расположенных на территории Севского района Брянской области, в отношении которых в 2018 году налоговая база определяется как их кадастровая стоимость"
Номер опубликования: 3201201810180011
Дата опубликования:
18.10.2018
