Официальное опубликование правовых актов
ОФИЦИАЛЬНОЕ ОПУБЛИКОВАНИЕ
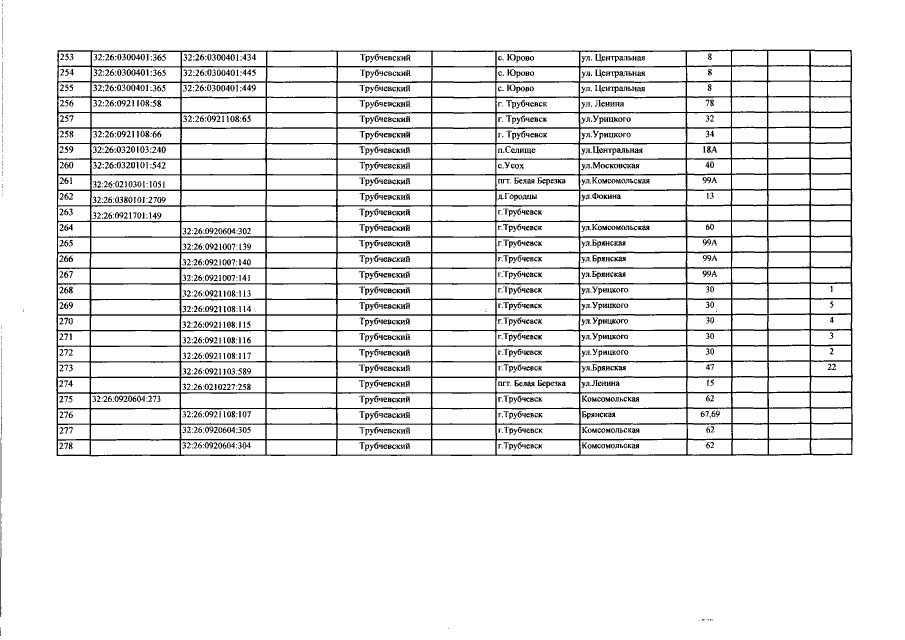
Приказ Управления имущественных отношений Брянской области от 12.10.2018 № 1239
"О внесении изменений в приказ от 27.11.2017 №1317 "Об определении перечня объектов недвижимого имущества, расположенных на территории Трубчевского района Брянской области, в отношении которых в 2018 году налоговая база определяется как их кадастровая стоимость"
Номер опубликования: 3201201810180008
Дата опубликования: 18.10.2018
Страница №11 из 11:
Увеличить