Официальное опубликование правовых актов
ОФИЦИАЛЬНОЕ ОПУБЛИКОВАНИЕ
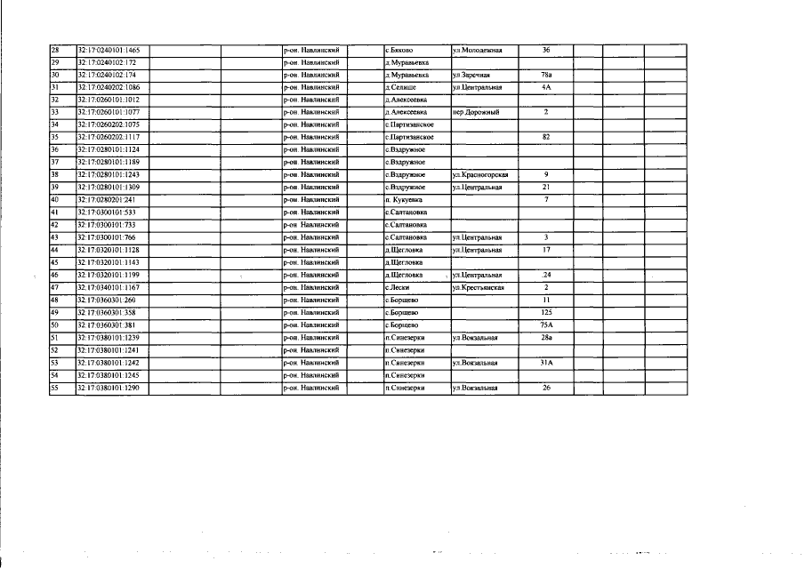
Приказ Управления имущественных отношений Брянской области от 12.10.2018 № 1235
"О внесении изменений в приказ от 27.11.2017 №1326 "Об определении перечня объектов недвижимого имущества, расположенных на территории Навлинского района Брянской области, в отношении которых в 2018 году налоговая база определяется как их кадастровая стоимость"
Номер опубликования: 3201201810180003
Дата опубликования: 18.10.2018
Страница №4 из 15:
Увеличить