Официальное опубликование правовых актов
ОФИЦИАЛЬНОЕ ОПУБЛИКОВАНИЕ
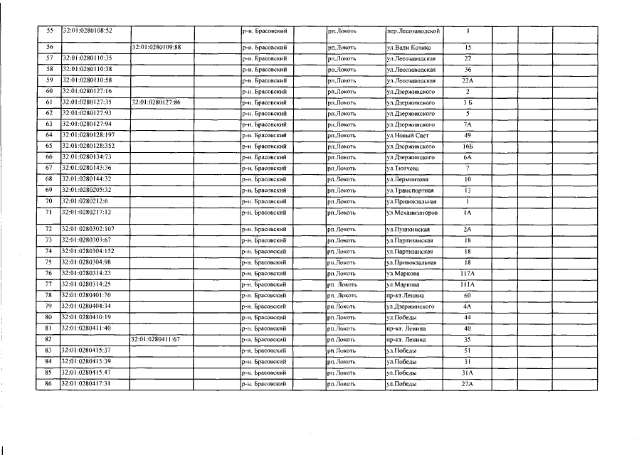
Приказ Управления имущественных отношений Брянской области от 12.10.2018 № 1240
"О внесении изменений в приказ от 26.10.2016 №1248 "Об определении перечня объектов недвижимого имущества, расположенных на территории Брасовского района Брянской области, в отношении которых в 2017 году налоговая база определяется как их кадастровая стоимость"
Номер опубликования: 3201201810180002
Дата опубликования: 18.10.2018
Страница №5 из 12:
Увеличить