Официальное опубликование правовых актов
ОФИЦИАЛЬНОЕ ОПУБЛИКОВАНИЕ
Приказ Управления имущественных отношений Брянской области от 28.09.2018 № 1188
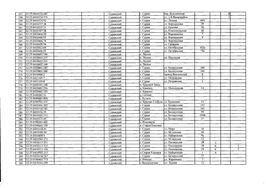
"О внесении изменений в приказ от 27.11.2017 №1318 "Об определении перечня объектов недвижимого имущества, расположенных на территории Суражского района Брянской области, в отношении которых в 2018 году налоговая база определяется как их кадастровая стоимость"
Номер опубликования: 3201201810040003
Дата опубликования: 04.10.2018
Страница №9 из 10:
Увеличить