Официальное опубликование правовых актов
ОФИЦИАЛЬНОЕ ОПУБЛИКОВАНИЕ
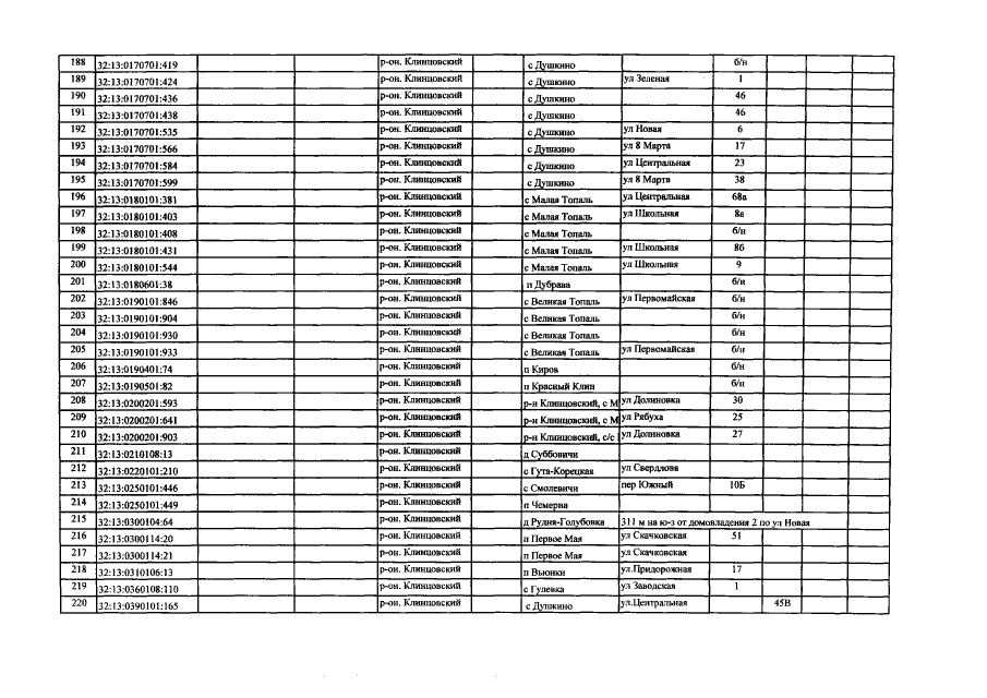
Приказ Управления имущественных отношений Брянской области от 23.08.2018 № 1079
"О внесении изменений в приказ от 27.11.2017 № 1330 "Об определении перечня объектов недвижимого имущества, расположенных на территории Клинцовского района Брянской области, в отношении которых в 2018 году налоговая база определяется как их кадастровая стоимость"
Номер опубликования: 3201201808290008
Дата опубликования: 29.08.2018
Страница №9 из 11:
Увеличить