Официальное опубликование правовых актов
ОФИЦИАЛЬНОЕ ОПУБЛИКОВАНИЕ
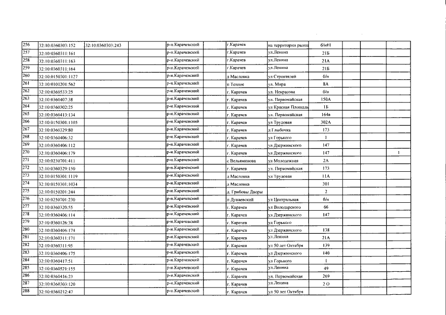
Приказ Управления имущественных отношений Брянской области от 25.06.2018 № 807
"О внесении изменений в приказ от 27.11.2017 №1333 "Об определении Перечня объектов недвижимого имущества, расположенных на территории Карачевского района Брянской области, в отношении которых в 2018 году налоговая база определяется как их кадастровая стоимость"
Номер опубликования: 3201201806290006
Дата опубликования: 29.06.2018
Страница №11 из 13:
Увеличить