Официальное опубликование правовых актов
ОФИЦИАЛЬНОЕ ОПУБЛИКОВАНИЕ
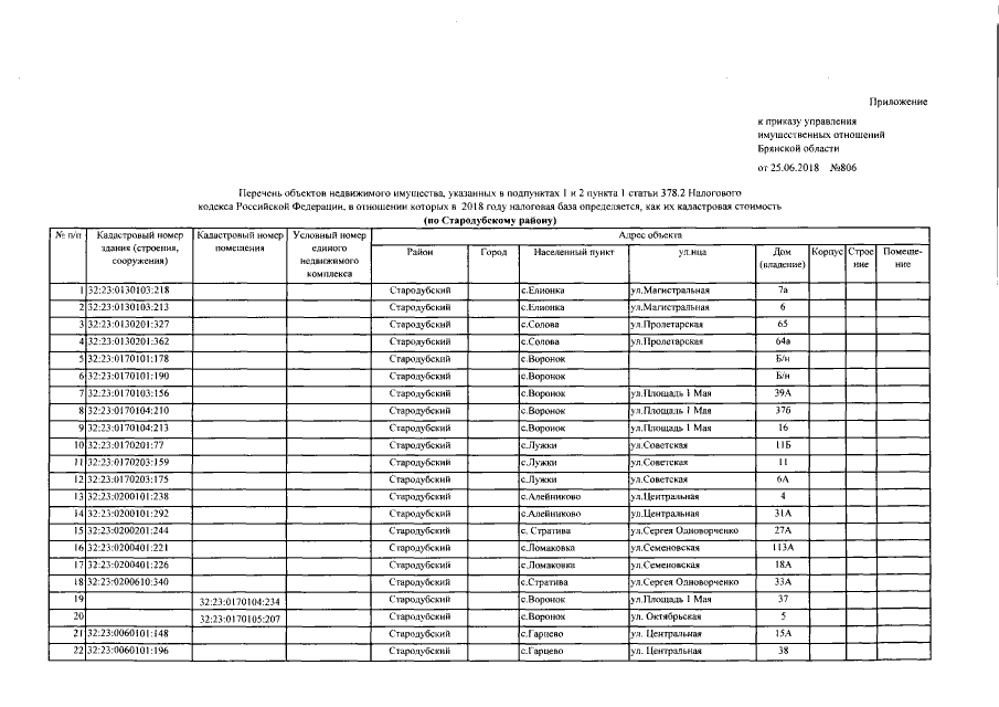
Приказ Управления имущественных отношений Брянской области от 25.06.2018 № 806
"О внесении изменений в приказ от 27.11.2017 №1320 "Об определении Перечня объектов недвижимого имущества, расположенных на территории Стародубского района Брянской области, в отношении которых в 2018 году налоговая база определяется как их кадастровая стоимость"
Номер опубликования: 3201201806290005
Дата опубликования: 29.06.2018
Страница №3 из 8:
Увеличить