Официальное опубликование правовых актов
ОФИЦИАЛЬНОЕ ОПУБЛИКОВАНИЕ
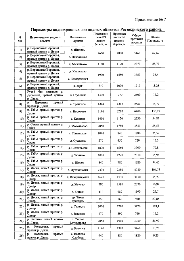
Приказ Департамента природных ресурсов и экологии Брянской области от 06.06.2018 № 429
"Об установлении границ водоохранных зон, прибрежных защитных полос и береговой линии водных объектов"
Номер опубликования: 3201201806150001
Дата опубликования: 15.06.2018
Страница №16 из 23:
Увеличить