Официальное опубликование правовых актов
ОФИЦИАЛЬНОЕ ОПУБЛИКОВАНИЕ
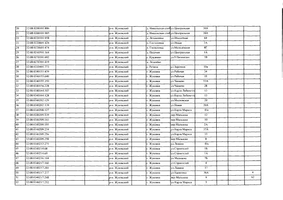
Приказ Управления имущественных отношений Брянской области от 06.06.2018 № 747
"О внесении изменений в приказ от 26.10.2016 №1260 "Об определении перечня объектов недвижимого имущества, расположенных на территории Жуковского района Брянской области, в отношении которых в 2017 году налоговая база определяется как их кадастровая стоимость"
Номер опубликования: 3201201806090004
Дата опубликования: 09.06.2018
Страница №4 из 10:
Увеличить