Официальное опубликование правовых актов
ОФИЦИАЛЬНОЕ ОПУБЛИКОВАНИЕ
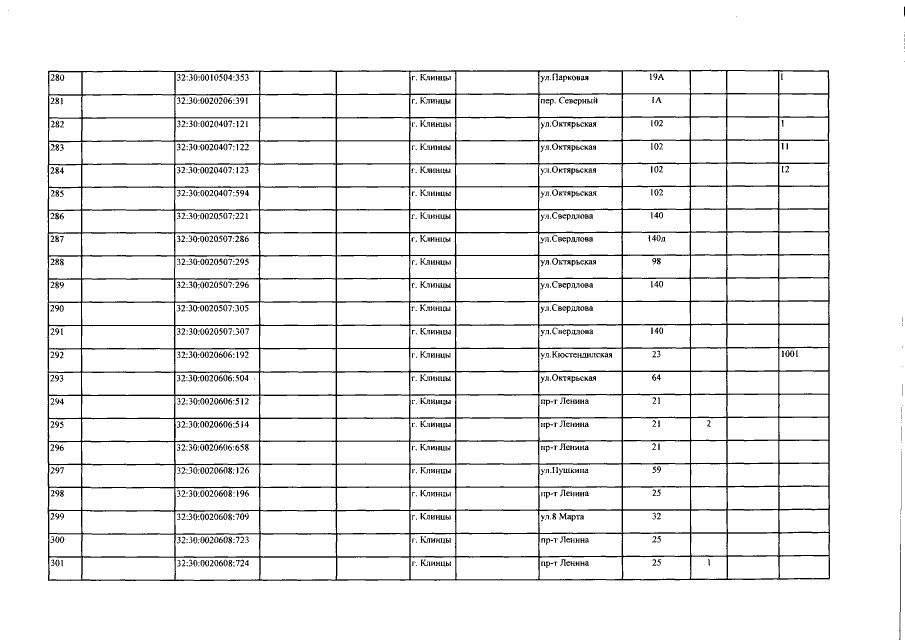
Приказ Управления имущественных отношений Брянской области от 18.05.2018 № 668
"О внесении изменений в приказ от 26.11.2015 №1853 "Об утверждении результатов определения кадастровой стоимости земельных участков, относящихся к категории земель населенных пунктов, расположенных на территории городского округа "Город Брянск"
Номер опубликования: 3201201805230001
Дата опубликования: 23.05.2018
Страница №16 из 19:
Увеличить