Приказ Управления имущественных отношений Брянской области от 15.03.2018 № 402
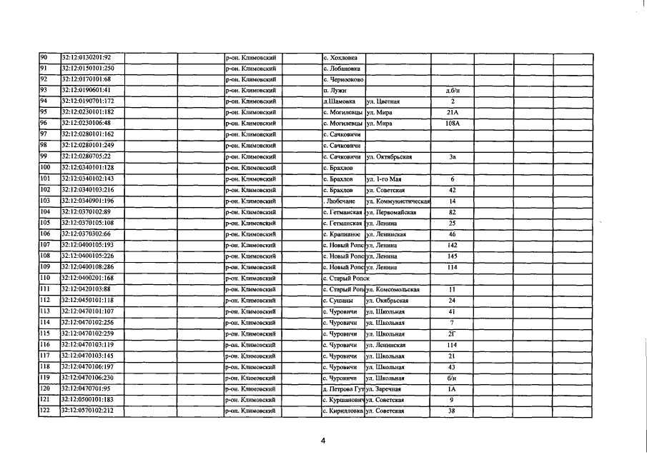
"О внесении изменений в приказ от 26.10.2016 №1264 "Об определении перечня объектов недвижимого имущества, расположенных на территории Климовского района Брянской области, в отношении которых в 2017 году налоговая база определяется как их кадастровая стоимость"
"О внесении изменений в приказ от 26.10.2016 №1264 "Об определении перечня объектов недвижимого имущества, расположенных на территории Климовского района Брянской области, в отношении которых в 2017 году налоговая база определяется как их кадастровая стоимость"
Номер опубликования: 3201201803200002
Дата опубликования:
20.03.2018
