Приказ Управления имущественных отношений Брянской области от 05.03.2018 № 341
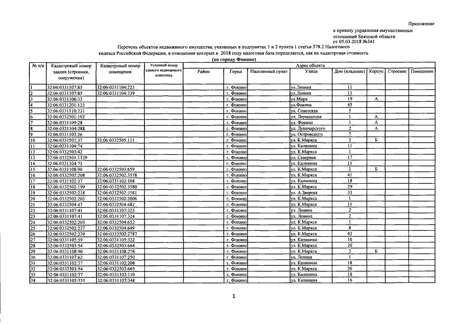
"О внесении изменений в приказ от 27.11.2017 №1339 "Об определении перечня объектов недвижимого имущества, расположенных на территории города Фокино Брянской области, в отношении которых в 2018 году налоговая база определяется как их кадастровая стоимость"
"О внесении изменений в приказ от 27.11.2017 №1339 "Об определении перечня объектов недвижимого имущества, расположенных на территории города Фокино Брянской области, в отношении которых в 2018 году налоговая база определяется как их кадастровая стоимость"
Номер опубликования: 3201201803070023
Дата опубликования:
07.03.2018
