Официальное опубликование правовых актов
ОФИЦИАЛЬНОЕ ОПУБЛИКОВАНИЕ
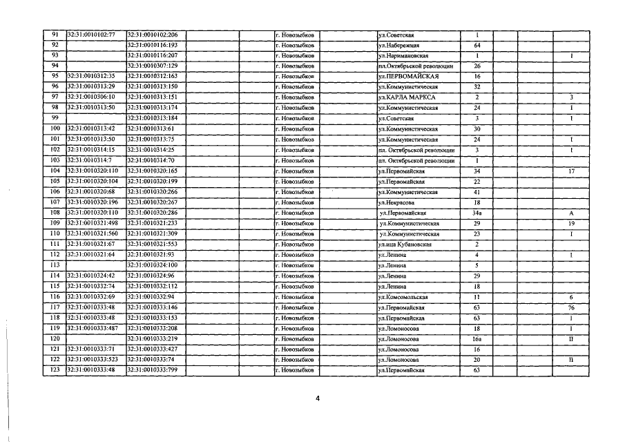
Приказ Управления имущественных отношений Брянской области от 05.03.2018 № 338
"О внесении изменений в приказ от 27.11.2017 №1342 "Об определении перечня объектов недвижимого имущества, расположенных на территории города Новозыбкова Брянской области, в отношении которых в 2018 году налоговая база определяется как их кадастровая стоимость"
Номер опубликования: 3201201803070018
Дата опубликования: 07.03.2018
Страница №6 из 18:
Увеличить