Официальное опубликование правовых актов
ОФИЦИАЛЬНОЕ ОПУБЛИКОВАНИЕ
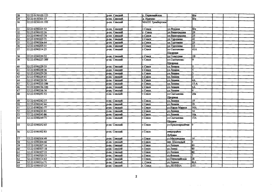
Приказ Управления имущественных отношений Брянской области от 05.03.2018 № 358
"О внесении изменений в приказ от 27.11.2017 №1321 "Об определении перечня объектов недвижимого имущества, расположенных на территории Севского района Брянской области, в отношении которых в 2018 году налоговая база определяется как их кадастровая стоимость"
Номер опубликования: 3201201803070004
Дата опубликования: 07.03.2018
Страница №4 из 8:
Увеличить